Номер 585 - ГДЗ Алгебра 8 класс. Мерзляк, Полонский. Учебник. Страница 147

Вернуться к содержанию учебника

Упражнения §18. Страница 147

582 583 584 585 586 587 588

Вопрос

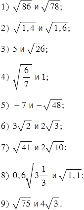
Сравните числа:

Подсказка

Ответ


Вернуться к содержанию учебника