Номер 1047 - ГДЗ Алгебра 7 класс. Мерзляк, Полонский. Учебник. Страница 209

Вернуться к содержанию учебника

Страница 209

1044 1045 1046 1047 1048 1049 1050

Вопрос

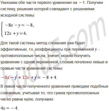
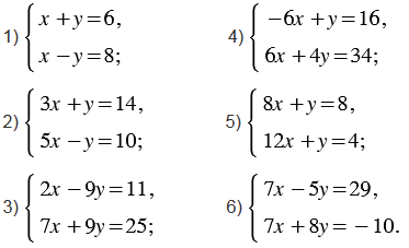
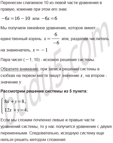
Решите систему уравнений методом сложения:

Подсказка

Ответ


Вернуться к содержанию учебника