Номер 594 - ГДЗ Алгебра 7 класс. Мерзляк, Полонский. Учебник. Страница 106

Вернуться к содержанию учебника

Страница 106

591 592 593 594 595 596 597

Вопрос

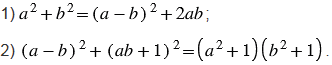
Докажите тождество:

Подсказка

Ответ


Вернуться к содержанию учебника