Номер 548 - ГДЗ Алгебра 7 класс. Мерзляк, Полонский. Учебник. Страница 100

Вернуться к содержанию учебника

Страница 100

545 546 547 548 549 550 551

Вопрос

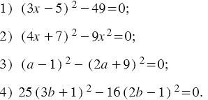
Решите уравнение:

Подсказка

Ответ


Вернуться к содержанию учебника