Страница 75 - ГДЗ Математика 2 класс. Моро, Бантова. Учебник часть 2

Старая и новая редакции

Вернуться к содержанию учебника

72 73 74 75 76 77 78

Вопрос

Выберите год учебника

Стр. 75 учебника 2011-2022:

1. Составь по рисунку задачу на умножение и за­дачу на деление и реши их.


Стр. 75 учебника 2023-2024:

1. Сделай рисунок к задаче и реши её.

Купили 5 зелёных мячей, а красных в 3 раза больше. Сколько красных мячей купили?

Подсказка

Стр. 75 учебника 2011-2022:

Если произведение  двух множителей, разделить на один из них, то получится другой множитель.


Стр. 75 учебника 2023-2024:

Повтори случаи табличного умножения.

Ответ

Стр. 75 учебника 2011-2022:

Решение

Задача 1:

Учеников первого класса поставили парами и повели в зоопарк. Всего получилось 6 пар. Сколько учеников ходили в зоопарк?

2 • 6 = 12 (уч.)

Ответ: 12 учеников ходили в зоопарк.


Задача 2:

12 первоклассников встали парами и пошли в зоопарк. Сколько пар получилось?

12 : 2 = 6 (п.)

Ответ: получилось 6 пар.


Пояснение

При составлении и решении задач можно опираться на следующий схематичный рисунок:


Стр. 75 учебника 2023-2024:

Решение


Пояснение

Вопрос

Выберите год учебника

Стр. 75 учебника 2011-2022:

2. 1) Толя купил 3 тетради, по 10 р. каждая. Сколько стоили все тетради?

Рассмотри схематическую запись и реши задачу.

Сколько таких тетрадей можно купить на 50 р.?

2) Составь похожие задачи и реши их.


Стр. 75 учебника 2023-2024:

2. 1) В магазине продали 9 тетрадей по цене 3 р. за каждую. Сколько денег выручили за эти тетради?

2) Составь и реши две задачи, обратные дан­ной.

Подсказка

Стр. 75 учебника 2011-2022:

Сумму одинаковых слагаемых можно заменить умножением.


Стр. 75 учебника 2023-2024:

Повтори случаи табличного умножения и деления, а также что такое обратные задачи.

Ответ

Стр. 75 учебника 2011-2022:

Решение

Задание 1:

1) 10 • 3 = 30 (р.) - стоимость 3 тетрадей.

2) 50 : 10 = 5 (т.) - можно купить на 50 р.

Ответ: 30 рублей; 5 тетрадей.


Задание 2:

Марина купила 5 ластиков по 3 р. каждый. Сколько стоили все ластики? Сколько таких ластиков можно купить на 24 р.?

1) 3 • 5 = 15 (р.) - стоимость 5 ластиков.

2) 24 : 3 = 8 (л.). - можно купить на 24 р.

Ответ: 15 рублей стоили ластики; 8 ластиков можно купить.


Пояснение

Задание 1:

1) 10 • 3 = 10 + 10 + 10 = 30.

2) 50 = 10 + 10 + 10 + 10 + 10, значит,  50 : 10 = 5.

Задание 2:

1) 3 • 5 = 3 + 3 + 3 + 3 + 3 = 15.

2) 24 = 3 + 3 + 3 + 3 + 3 + 3 + 3 + 3, значит, 24 : 3 = 8.


Стр. 75 учебника 2023-2024:

Решение

9 • 3 = 27 (р.)

Ответ: 27 рублей стоят эти тетради.

Обратная задача 1:

В магазине продали несколько тетрадей по цене 3 р. за каждую. За все тетради выручили 27 р. Сколько тетрадей продали?

27 : 3 = 9 (т.)

Ответ: купили 9 тетрадей.

Обратная задача 2:

В магазине продали 9 тетрадей на общую сумму 27 р. Сколько рублей стоила одна тетрадь?

27 : 9 = 3 (р.)

Ответ: цена тетради 3 р.

Пояснение

Цена одной тетради

Количество

тетрадей

Стоимость тетрадей

3 р.

9 шт.

?

? 9 шт. 27 р.
3 р. ? 27 т.

Вопрос

Выберите год учебника

Стр. 75 учебника 2011-2022:

3. Мама поджарила 11 котлет. За обедом съели 6 котлет. Сколько котлет осталось? На сколько меньше котлет осталось, чем съели?


Стр. 75 учебника 2023-2024:

3. Найди уравнения, которые ты пока не можешь решить. Исправь их и реши.

78 + = 40 - 23 = 60 50 - = 64

Подсказка

Стр. 75 учебника 2011-2022:

Если в задаче есть слова « на... меньше», то задача решается вычитанием.

Чтобы узнать, на сколько одно число больше или меньше дру­гого, нужно из большего числа вычесть меньшее - вычитание.


Стр. 75 учебника 2023-2024:

Повтори, что такое уравнения.

Ответ

Стр. 75 учебника 2011-2022:

Решение

1) 11 - 6 = 5 (к.) - осталось после обеда.

2) 6 - 5 = 1 (к.)

Ответ: 5 котлет осталось; осталось на 1 котлету меньше.


Пояснение


Стр. 75 учебника 2023-2024:

Решение


Пояснение

1) Не могу решить 78 + х = 40, потому что сумма должна быть больше слагаемого.

2) Не могу решить 50 - х = 64, потому что разность должна быть меньше уменьшаемого.

Вопрос

Выберите год учебника

Стр. 75 учебника 2011-2022:

4. Найди значения выражений 70 - b и b + 8 при b = 32, b = 34, b = 46, b = 68.


Стр. 75 учебника 2023-2024:

4. 1) Найди значение выражения 1 • b при b = 4, b = 79, b = 98, b = 100.

2) Найди значение выражения 0 • k при k = 3, k = 81, k = 90, k = 100.

Подсказка

Стр. 75 учебника 2011-2022:

Повтори, как найти значение буквенного выражения.


Стр. 75 учебника 2023-2024:

Повтори, как найти значение буквенного выражения.

Если 0 умножить на число, получится 0.

Если 1 умножить на число, получится то же самое число.

Ответ

Стр. 75 учебника 2011-2022:

Решение

b 70 - b b + 8
32 70 - 32 = 38 32 + 8 = 40
34 70 - 34 = 36 34 + 8 = 42
46 70 - 46 = 24 46 + 8 = 54
68 70 - 68 = 2 68 + 8 = 76

Пояснение

Чтобы найти значение буквенного выражения, нужно в это выражение вместо буквы подставить число, которое дано в условии, и выполнить вычисления.


Стр. 75 учебника 2023-2024:

Решение


Пояснение

Чтобы найти значение буквенного выражения, нужно в это выражение подставить вместо буквы число и выполнить вычисления.

Вопрос

Выберите год учебника

Стр. 75 учебника 2011-2022:

5. Вычисли и выполни проверку.

75 + 18 96 - 47 38  + 26 82 - 55

Стр. 75 учебника 2023-2024:

5.

 9 • 4

20 : 4

8 • 4

36 : 9

7 • 4

28 : 4

32 : 4

42 + (20 - 8)

14 : 7

50 - (17 - 9)

24 : 6

70 - (38 + 7)

Подсказка

Стр. 75 учебника 2011-2022:

Вспомни, как проверить результат сложения и результат вычитания.


Стр. 75 учебника 2023-2024:

Повтори случаи табличного умножения и деления, а также порядок действий.

Ответ

Стр. 75 учебника 2011-2022:

Решение
+ 7 5
1 8
  9 3
   
- 9 6
4 7
  4 9
+ 3 8
2 6
  6 4
   
- 8 2
5 5
  2 7
Проверка
   
- 9 3
7 5
  1 8
+ 4 9
4 7
  9 6
   
- 6 4
3 8
  2 6
+ 2 7
5 5
  8 2

Пояснение

Сложение и вычитание выполняем в столбик

При выполнении вычитания, если единицы уменьшаемого меньше единиц вычитаемого, над десятками уменьшаемого ставим точку, чтобы не забыть о том, что один десяток забрали.

Если есть необходимость, то число, которое запоминают при выполнении сложения в столбик, можно писать сверху над разрядом, к которому это число будут прибавлять. Например,

  1  
+ 7 5
1 8
  9 3

Чтобы проверить сложение, можно использовать любой из следующих способов:

  1. из суммы вычесть первое слагаемое и в результате вычитания должно получиться второе слагаемое;
  2. из суммы вычесть второе слагаемое и в результате вычитания должно получиться первое слагаемое.

Чтобы проверить вычитание, можно использовать любой из следующих способов:

  1. к разности прибавить вычитаемое и в результате сложения должно получиться уменьшаемое;
  2. из уменьшаемого вычесть разность и в результате вычитания должно получится вычитаемое.  

Стр. 75 учебника 2023-2024:

Решение

 9 • 4 = 36

32 : 4 = 8

8 • 4 = 32

14 : 7 = 2

7 • 4 = 28

24 : 6 = 4

20 : 4 = 5

42 + (20 - 8) = 54

36 : 9 = 4

50 - (17 - 9) = 42

28 : 4 = 7

70 - (38 + 7) = 25


Пояснение

1-3 столбики - случаи табличного умножения.

4 столбик

42 + (20 - 8) = 42 + 12 = 54

50 - (17 - 9) = 50 - 8 = 42

70 - (38 + 7) = 70 - 45 = 25

Вопрос

Выберите год учебника

Стр. 75 учебника 2011-2022:

6. Сумма каких двух чисел равна их произведению?

Сумма каких двух чисел равна их разности?


Стр. 75 учебника 2023-2024:

6. 1) Сколько квадратов на чертеже?

2) Как получить 3 одинаковых квадрата, пере­ложив 2 палочки? Найди несколько решений.

3) Как получить 4 одинаковых квадрата, если добавить 2 палочки?

Подсказка

Стр. 75 учебника 2011-2022:

Повтори, как называются числа при умножении, сложении и вычитании.


Стр. 75 учебника 2023-2024:

Повтори материал о квадрате.

Ответ

Стр. 75 учебника 2011-2022:

Решение

1) Сумма каких двух чисел равна их произведению?

2 и 2

2) Сумма каких двух чисел равна их разности?

8 и 0, 12 и 0


Пояснение

1) 2 + 2 = 2 • 2

    4 = 4

2) Сумма любого числа и 0 равна их разности, например,

8 + 0 = 8 - 0

0 + 12 = 12 - 0


Стр. 75 учебника 2023-2024:

1) На чертеже 2 квадрата:

2) 3 одинаковых квадрата можно получить так:

 

3) 4 одинаковых квадрата:

Вопрос

Выберите год учебника

Стр. 75 учебника 2011-2022:

Булочка стоит 8 р. Сколько стоят 2 такие булочки?


Стр. 75 учебника 2023-2024:

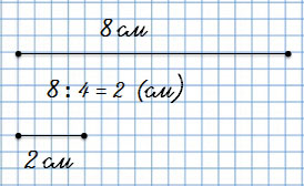
Начерти два отрезка: длина первого 8 мм, а длина второго в 4 раза больше.

Подсказка

Стр. 75 учебника 2011-2022:

Сумму одинаковых слагаемых можно заменить умножением.


Стр. 75 учебника 2023-2024:

Повтори случаи табличного умножения.

Ответ

Стр. 75 учебника 2011-2022:

Решение

8 • 2 = 16 (р.)

Ответ: 16 рублей стоят 2 булочки.


Пояснение

При решении задачи можно опираться на следующий схематичный рисунок:

8 • 2 = 8 + 8 = 16 (р.)


Стр. 75 учебника 2023-2024:

Решение


Пояснение

Чертим с помощью линейки отрезок длиной 8 мм.

Длина второго отрезка в 4 раза больше первого, значит, чтобы определить длину второго отрезка, нужно 8 умножить на 4, получим 8 • 4 = 32.

Чертим с помощью линейки отрезок длиной 32 мм.

Вопрос

Выберите год учебника

Стр. 75 учебника 2011-2022:

Сколько всего четырёхугольников?


Стр. 75 учебника 2023-2024:

Цепочка:

Подсказка

Стр. 75 учебника 2011-2022:

Повтори материал о многоугольниках.


Стр. 75 учебника 2023-2024:

Повтори случаи табличного деления.

Ответ

Стр. 75 учебника 2011-2022:

Решение

На чертеже 16 четырёхугольников.


Пояснение


Стр. 75 учебника 2023-2024:

Вернуться к содержанию учебника